Co to jest prawo Coulomba?
Prawo Coulomba jest używane w fizyce do obliczania siły elektrycznej działającej między dwoma ładunkami w spoczynku .
Na podstawie tego prawa możemy przewidzieć siłę elektrostatyczną przyciągania lub odpychania pomiędzy dwoma cząsteczkami w zależności od ich ładunku elektrycznego i odległości między nimi.
Prawo Coulomba zawdzięcza swoją nazwę francuskiemu fizykowi Charlesowi-Augustinowi de Coulomb, który w 1875 r. sformułował to prawo, które jest podstawą elektrostatyki:
„Wielkość każdej z sił elektrycznych, z którymi oddziałują na siebie dwa ładunki punktowe w spoczynku, jest wprost proporcjonalna do iloczynu wielkości obu ładunków i odwrotnie proporcjonalna do kwadratu odległości, która je dzieli i ma kierunek linii, która je łączy. Siła jest odpychająca, jeśli ładunki są równe, a przyciągająca, jeśli są przeciwne”.
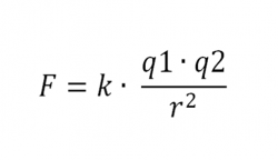
To prawo jest przedstawiane w następujący sposób:

- F = siła elektryczna przyciągania lub odpychania w Newtonach (N). Jednakowe ładunki odpychają się, a przeciwne przyciągają.
- k = jest stałą Coulomba lub stałą elektryczną proporcjonalności . Siła ta zmienia się w zależności od przenikalności elektrycznej (ε) ośrodka, czy jest to między innymi woda, powietrze, olej, próżnia.
- r = odległość dzieląca ładunki mierzona w metrach (m).
(tixagag_4) q = wartość ładunków elektrycznych mierzona w Coulombach (C).
Należy zwrócić uwagę, że przenikalność elektryczna próżni jest stała i jest jedną z najczęściej używanych. Oblicza się go w następujący sposób: ε0 = 8,854187878176×10-12 C2 (N-m2). Bardzo ważne jest, aby wziąć pod uwagę przenikalność materiału.
Wartość stałej Coulomba w międzynarodowym systemie miar wynosi:

Prawo to uwzględnia tylko oddziaływanie pomiędzy dwoma ładunkami punktowymi jednocześnie i określa tylko siłę, która istnieje pomiędzy q1 i q2 bez uwzględnienia ładunków otaczających.
Coulomb był w stanie określić właściwości siły elektrostatycznej poprzez skonstruowanie jako instrumentu badawczego wagi skrętnej, która składała się z pręta zawieszonego na włóknie z możliwością skręcenia i powrotu do pozycji wyjściowej.
W ten sposób Coulomb mógł zmierzyć siłę wywieraną na punkt na pręcie poprzez umieszczenie kilku naładowanych kul w różnych odległościach, aby zmierzyć siłę przyciągania lub odpychania podczas obrotu pręta.
Siła elektrostatyczna
Ładunek elektryczny jest własnością materii i jest przyczyną zjawisk związanych z elektrycznością.
Elektrostatyka jest dziedziną fizyki, która bada efekty, które powstają w ciałach w zależności od ich ładunków elektrycznych w stanie równowagi.
Siła elektryczna (F) jest proporcjonalna do zbliżenia ładunków i odwrotnie proporcjonalna do odległości między nimi. Ta siła działa między ładunkami promieniście, tzn. linia między ładunkami, stąd wektor promieniowy między dwoma ładunkami.
Dlatego dwa ładunki o tym samym znaku wytwarzają siłę dodatnią, np: – ∙ – = + o + ∙ + = +. Z drugiej strony, dwa ładunki o przeciwnych znakach wytwarzają siłę ujemną, na przykład: – ∙ + = – o + ∙ – = -.
Jednak dwa ładunki o tym samym znaku odpychają się (+ + + – – -), ale dwa ładunki o różnych znakach przyciągają się (+ – – +).
Przykład : Jeśli pociera Pan taśmę teflonową o rękawicę, to rękawica jest naładowana dodatnio, a taśma ujemnie, dlatego przyciągają się one, gdy się zbliżą. Teraz, jeśli potrzemy włosami nadmuchany balon, to balon będzie naładowany energią ujemną, a kiedy zbliżymy go do taśmy teflonowej, oba będą się odpychać, ponieważ mają ten sam rodzaj ładunku.
Również ta siła zależy od ładunku elektrycznego i odległości między nimi, jest podstawową zasadą elektrostatyki, jak również prawem obowiązującym w ładunkach spoczywających w układzie odniesienia.
Warto wspomnieć, że dla małych odległości siły ładunków elektrycznych rosną, a dla dużych odległości siły ładunków elektrycznych maleją, czyli zmniejszają się wraz z oddalaniem się ładunków od siebie.
Patrz również Elektryczność.
Wielkość siły
Wielkość siły elektromagnetycznej to taka, która oddziałuje na ciała zawierające ładunek elektryczny i która może prowadzić do przemiany fizycznej lub chemicznej, ponieważ ciała mogą się przyciągać lub odpychać.
Dlatego wielkość wywierana na dwa ładunki elektryczne jest równa stałej ośrodka, w którym znajdują się ładunki elektryczne razy iloraz iloczynu każdego z nich i odległości, która je dzieli podniesiony do kwadratu.
Wielkość siły elektrostatycznej jest proporcjonalna do iloczynu wielkości ładunków q1 x q2. Siła elektrostatyczna w bliskiej odległości jest bardzo silna.
Patrz również Magnitude.
Przykłady prawa Coulomba
Oto różne przykłady ćwiczeń, w których należy zastosować prawo Coulomba.
Przykład 1
Mamy dwa ładunki elektryczne, jeden o wartości +3c i jeden o wartości -2c, oddzielone od siebie na odległość 3m. Aby obliczyć siłę, która istnieje pomiędzy oboma ładunkami, należy pomnożyć stałą K przez iloczyn obu ładunków. Jak widać na zdjęciu, uzyskano siłę ujemną.
Ilustrowany przykład zastosowania prawa Coulomba:

Przykład 2
Mamy ładunek o wartości 6 x 10-6C (q1), który jest oddalony o 2 m od ładunku o wartości -4 x 10-6C (q2). Jaka jest więc wielkość siły pomiędzy tymi dwoma ładunkami?

a. Proszę pomnożyć współczynniki: 9 x 6 x 4= 216.
b. Proszę dodać wykładniki algebraicznie: -6 i -6 = -12. Teraz -12 + 9 = -3.

Odpowiedź: F = 54 x 10-3 N.
Przykłady ćwiczeń
1. Mamy ładunek o wartości 3 x 10-6C (q1) i inny ładunek o wartości -8 x 10-6C (q2) w odległości 2 m. Jaka jest wielkość siły przyciągania między nimi?
Odpowiedź: F = 54 X 10-3 N.
2. Proszę wyznaczyć siłę działającą pomiędzy dwoma ładunkami elektrycznymi 1 x 10-6C (q1) i innym ładunkiem 2,5 x 10-6C (q2), które znajdują się w spoczynku i w próżni w odległości 5 cm (proszę pamiętać o zamianie cm na m zgodnie z Międzynarodowym Systemem Miar).
Odpowiedź: F = 9 N.
Patrz również Siła.










