Co to jest równomierny ruch prostoliniowy:
Jednolity ruch prostoliniowy (U.R.M.) opisuje ruch obiektu w jednym kierunku ze stałą prędkością i czasem na określonym dystansie .
W fizyce można zaobserwować jednostajny ruch prostoliniowy w płaszczyźnie, na osi współrzędnych, gdzie ruch odbywa się w linii prostej w jednym kierunku. Jest ona jednolita, ponieważ zmienne prędkości i czasu na linii prostej są stałe.
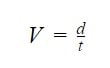
Wzór na jednostajny ruch prostoliniowy ma trzy niewiadome: stałą prędkość (V), odległość (d) i czas (t). Główna formuła, która ma za niewiadomą stałą prędkość jest następująca:
  
Stała prędkość jest więc ilorazem przebytej drogi i czasu. Na przykład, jeżeli chcemy określić prędkość samochodu, który przejeżdża 7500 metrów (odległość) w 300 sekund (czas), dzielimy 7500 przez 300, co daje 25 metrów na sekundę (prędkość).
W celu rozwiązania wzorów na jednostajny ruch prostoliniowy musimy przeliczyć jednostki na system międzynarodowy (I.S.) w następujący sposób dla każdego czynnika:
- Velocity, speed, celerity lub modulus: metry na sekundę (ms)
- Odległość: metry (m)
Czas: sekundy (s)
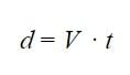
Wzór na określenie przebytej drogi przy stałej prędkości w danym czasie jest następujący:
  
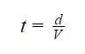
Wzór na określenie czasu ze stałej prędkości i danej odległości jest następujący:
  
Patrz również:
- Motion
- Fizyka
- Mechanika






