Co to jest mnożenie?
Mnożenie jest operacją matematyczną, która polega na dodaniu liczby tyle razy, ile wskazuje inna liczba, która składa się na tę operację, np:

Poprzednia operacja wskazuje na to, aby dodać pierwszą liczbę trzy razy, a następnie:

Mnożenie pochodzi od łacińskiego multiplicatĭo , co oznacza „czynność i skutek mnożenia”.
Tak samo mnożenie poza matematyczną sferą oznacza zwiększanie tego samego, jakościowo lub ilościowo.
Części mnożenia
W matematyce mnożenie ma trzy składniki:

- Mnożenie : jest liczbą, którą należy pomnożyć.
- Mnożnik : jest składnikiem, który wskazuje, ile razy mnożnik zostanie dodany.
- Iloczyn : jest wynikiem lub rozwiązaniem mnożenia.
Mnożnik i multiplikator nazywane są również czynnikami .
Jak mnoży się znaki
Mnożenie wspiera operacje z liczbami dodatnimi (+) i ujemnymi (-). W tych przypadkach znaki są również mnożone według określonych reguł:
- Jeżeli liczba zostanie pomnożona przez jednostkę (1), to zachowa swój znak.
Przykład:

- Jeżeli czynniki mnożenia mają różne znaki (+), (-), to iloczyn będzie miał znak ujemny.
Przykład:

- Jeżeli czynniki mnożenia mają równe znaki, to iloczyn będzie miał znak dodatni.
Przykład:

Własności mnożenia
Mnożenie ma szereg właściwości, które obowiązują przy operacjach na liczbach całkowitych, naturalnych, rzeczywistych, ułamkach i liczbach złożonych:
Właściwość elementu zerowego lub elementu pochłaniającego
Każda liczba pomnożona przez zero daje w wyniku zero.
Przykład:
![]()
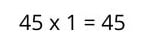
Właściwość elementu neutralnego.
Każda liczba pomnożona przez jedność (1) daje w wyniku tę samą liczbę.
Przykład:
![]()
Właściwość zamka
Przy mnożeniu dwóch liczb naturalnych iloczyn będzie zawsze liczbą naturalną.
Przykład:

Własność komutatywna
Kolejność czynników nie zmienia produktu.
Przykład:

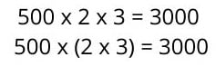
Właściwość asocjacyjna
Sposób powiązania czynników nie zmienia produktu.
Przykład:

Własność rozdzielcza
Mnożenie liczby przez sumę jest równe dodaniu mnożenia tej liczby przez każdy z dodatków tej operacji.
Przykład:

Znak mnożenia
Wbrew powszechnej opinii, znak mnożenia to nie x, ale krzyż w kształcie krzyża zwany decussata lub krzyżem św. Andrzeja. Użycie znaku x stało się popularne między innymi dlatego, że wiele klawiatur nie posiada tego znaku, więc o wiele praktyczniejsze jest użycie x.
Jednakże, będąc tak podobnym do litery X, może być mylony z niewiadomą równania, dlatego, mimo że jego użycie jest poprawne, sugeruje się użycie kropki (.) lub gwiazdki (*) w tego typu operacjach, aby uniknąć błędów.









